티스토리 뷰
목차
[동탄 대방 엘리움 더 시그니처 청약]
6/28 동탄2신도시 동탄역 대방 엘리움 더 시그니처(C18BL)의
청약 모집공고가 발표되었습니다.
청약일은 7월 8일 ~ 10일이고,
일반공급 186세대, 특별공급 278세대가 예정되어있습니다.
동탄역 인근 마지막 분양가 상한제 적용단지로
최소 3~4억의 시세차익을 기대할 수 있을 것으로 보입니다.
절대 놓치면 안될 무척이나 좋은 기회입니다.
청약에 당첨되기 위해 꼭 필요한 내용에 대해 함께 살펴보도록 할까요?
1. 단지정보
- 단지명 : 경기도 화성시 오산동 동탄2택지개발지구 C18BL
- 규모 : 지하 3층 ~ 지상 최고 29층, 5개동, 총 464세대 (일반 186세대, 특별 278세대)
- 타입 : 63A, 63B, 82A, 82B
- 입주시기 : 2027년 6월 예정
공급대상 정보는 아래와 같습니다.
2. 평면도
아래 평면도에서 유상옵션에 따라 구조 변경 가능할 예정입니다.
그 외 옵션으로 시스템 에어컨, 식기세척기, 정수 시스템, 중문 등
거주에 편리한 다양한 옵션을 선택 가능합니다.
[63A 평면도]
[63B 평면도]
[82A 평면도]
[82B 평면도]
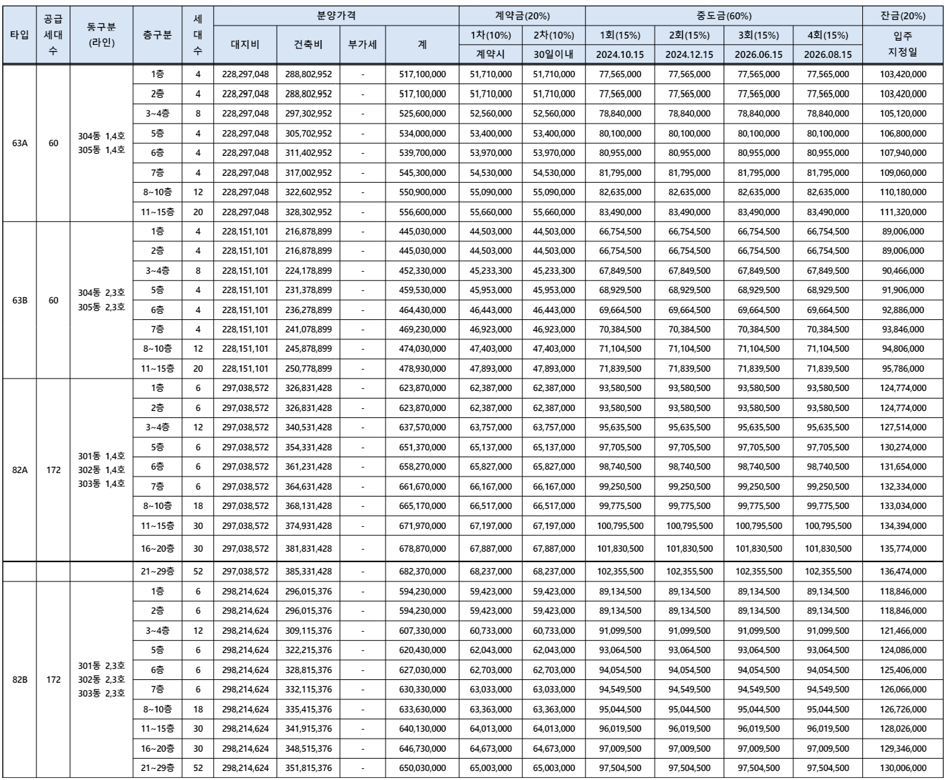
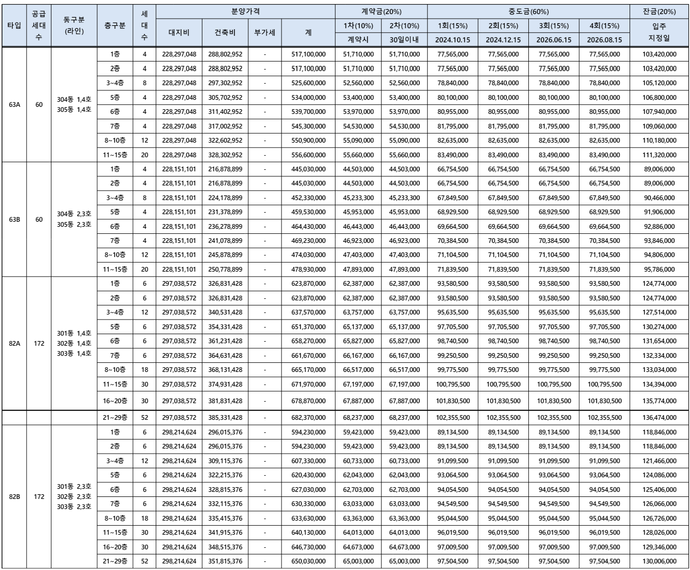
3. 분양가
분양 가격은 동/ 층 /호 별로 다르며,
대략적으로 요약해보면 다음과 같습니다.
- 63A, 63B : 4.4 억 ~ 5.5 억
- 82A, 82B : 6.2 억 ~ 6.8 억
분양금 납부는
계약금 20% (2회로 나눠서), 중도금 60% (15%씩 4회), 잔금 20%(입주 지정일) 입니다.
자세한 내용은 아래 표에서 확인이 가능합니다.

4. 시세차익
주변에 있는 전용 84㎡ 아파트들의 시세가
9.6 억 ~ 10.2 억 으로 거래되는 것을 보아,
못해도 최소 3 ~ 4 억 이상의 시세차익을 기대할 수 있을 것 같습니다.
(82A, 82B 분양가 : 6.2 억 ~ 6.8 억)


5. 일정
주요 일정은 다음과 같습니다.
- 특별공급 : 7월 8일 (월)
- 일반공급 : 7월 9일 (화) ~ 10일 (수)
- 당첨자발표 : 7월 17일 (수)
- 계약일 : 7월 29일 (월) ~ 31일 (수)
재당첨 제한 10 년, 전매제한 3 년, 거주의무기간 5 년입니다.
중요한 내용이니 꼭 확인하고,
계획을 세우시기 바라겠습니다.
6. 자격조건
- 입주자모집공고일(6/28) 현재,
화성시에 거주하거나 수도권(경기도, 서울특별시, 인천광역시)에 거주하는 만 19세 이상인 분 또는 세대주인 미성년자 - 순위별 청약통장 자격요건을 만족하는 분 (1순위는 아래 예치금액 참조. 2순위는 가입만 해도 가능)
특별공급의 경우 항목별 내용이 너무 상이한 관계로,
아래 첨부문서의 10페이지부터 참조해 주시면 감사하겠습니다.
7. 당첨자 선정
일반공급 당첨자 선정 순서는 다음과 같습니다.
- 1순위 가점제 : ①지역 → ②가점 → ③청약통장 가입기간 → ④추첨
- 1순위 추첨제 : ①지역 → ②무주택자 우선공급 → ③추첨
- 2순위 : ①지역 → ②추첨
* 지역 : 해당지역 거주자(화성시 1년 이상 계속 거주자) 30%
→ 기타 경기(경기도 6개월 이상 계속 거주자) 20%
→ 기타 지역 거주자(경기도 6개월 미만 및 서울특별시, 인천광역시 거주자) 50%
* 가점제 40%, 추첨제 60%
오늘도 긴 글 읽어주셔서 감사드리며,
이번 청약에서 모든 분들에게 행운이
가득하시길 진심으로 기원합니다.
항상 좋은 하루 되십시오 🍀 🎁

















